九江市教育局2026年部门预算
发布时间:2026-02-05 15:08 来源:本网字体: [大 中 小]
- 信息类别:
- 文件编号:
- 公开方式: 主动公开
- 生成日期: 2026-02-05
- 公开时限: 常年公开
- 公开范围: 面向全社会
- 信息索取号: 000014349/2026-00063
- 责任部门:
目 录
第一部分 九江市教育局概况
一、部门主要职责
二、机构设置及人员情况
第二部分 九江市教育局2026年部门预算表
一、《收支预算总表》
二、《部门收入总表》
三、《部门支出总表》
四、《财政拨款收支总表》
五、《一般公共预算支出表》
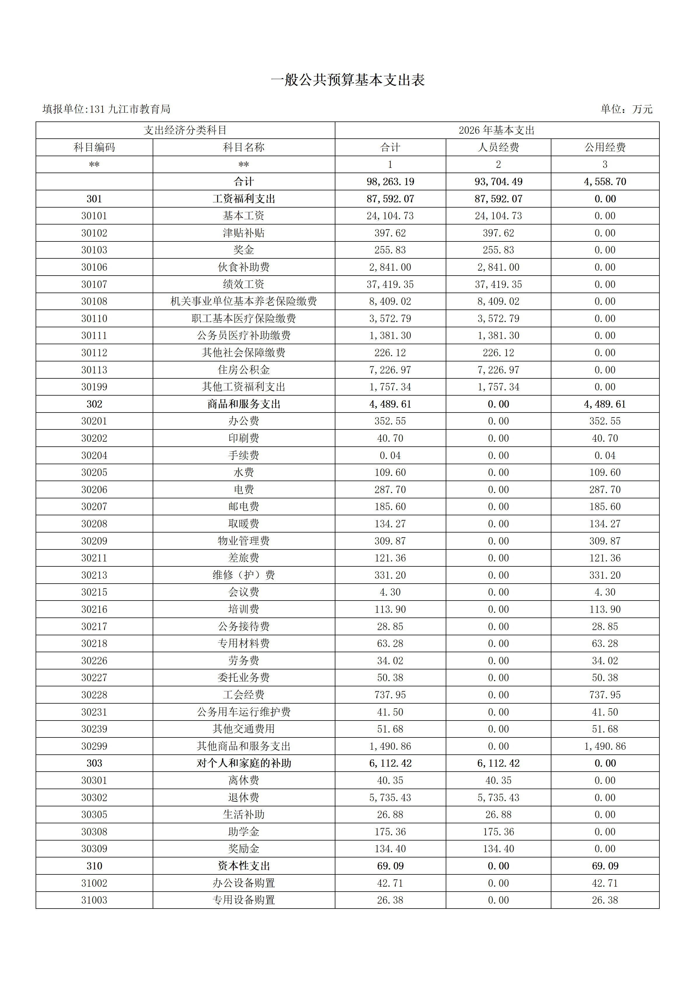
六、《一般公共预算基本支出表》
七、《财政拨款“三公”经费支出表》
八、《政府性基金预算支出表》
九、《国有资本经营预算支出表》
十、《部门整体绩效目标》
十一、《项目绩效目标表》
第三部分 九江市教育局 2026年部门预算情况说明
一、2026年部门预算收支情况说明
二、2026年财政拨款“三公”经费预算情况说明
第四部分 名词解释
第一部分 九江市教育局概况
一、部门主要职责
市教育局是主管全市教育工作的市政府组成部门,主要职责是:
1、贯彻落实党的教育方针、政策和国家教育法律、法规。研究全市教育改革发展重大问题,综合指导、协调和管理全市的教育工作。
2、编制全市教育事业发展规划,指导并督促教育规划、计划的实施,负责全市教育教学研究、信息统计及分析等工作。
3、综合管理全市基础教育、职业教育、托幼教育、师范教育、成人教育、市属高等教育、特殊教育及社会力量办学工作,具体管理市属中小学。负责全市教育督导与评估,统筹管理全市教育系统对外交流与国际合作工作。
4、规划并指导全市办学体制改革,理顺教育内部和外部的关系,建立适应全市经济和社会发展的教育体制及运作机制。
5、依法完善中小学教师和中小学校书记、校长的管理体制;负责中小学教师的资格认定,指导教师的招聘录用、职务评聘、继续教育、培养培训和考核工作。指导并协调全市各级各类学校的人事和分配制度改革。统筹规划并指导全市各级各类学校教师和教育管理人员队伍建设工作。
6、统筹管理本部门教育经费,会同有关部门拟定筹措教育经费、教育拨款、教育基建投资的规划,按有关规定管理中央、省对全市的教育拨、贷款。
7、归口管理全市学历教育及中小学招生考试工作、高等教育自学教育考试工作、扫除青壮年文盲工作。统筹管理全市语言文字工作,指导推广普通话工作,负责全市普通话测试工作。
8、协助有关部门指导全市各级各类学校的思想政治工作、德育工作、体育工作、美育工作、卫生工作及国防教育工作。
9、编制市直中小学校和县(市、区)的招生指导计划并指导实施;拟定执行省高等学校和中等专业学校毕业生就业政策的办法,并组织实施。指导全市高等学校、中等专业学校招生制度和毕业生就业制度改革工作。
10、承办市政府交办的其他工作。
二、机构设置及人员情况
九江市教育局共有预算单位29个,包括九江市教育局和28个所属预算单位,所属预算单位具体包括:江西省九江第一中学、九江市第二中学(九江市同文中学)、九江市第三中学、九江市田家炳实验中学、九江外国语学校、九江市第六中学、九江实验中学、九江市第十一中学、九江市双峰小学、九江市九江小学、九江市长虹小学、九江市中心幼儿园、江西九江科技中等专业学校、九江市特殊教育学校、九江市教育科学研究所、九江市湖滨幼儿园、九江实华学校、九江金安高级中学、九江市第七中学、九江开放大学、中共九江市委机关幼儿园、九江市人民政府机关幼儿园、九江市教育考试中心、九江市教育技术和装备发展中心、九江市中小学校服务保障中心、九江八里湖双峰小学、九江八里湖外国语学校、九江市卫生学校。
第二部分 九江市教育局2026年部门预算表












第三部分 九江市教育局2026年部门预算情况说明
一、2026年部门预算收支情况说明
(一)收入预算情况
2026年九江市教育局收入预算总额为124477.29万元,较上年预算安排增加15283.48万元;本年收入合计118915.01万元,较上年预算安排增加11725.75万元;包括:财政拨款收入99903.42万元,较上年预算安排增加4899.39万元;教育收费资金收入6865.50万元,较上年预算安排增加797.50万元;其他收入12146.09万元,较上年预算安排增加6078.86万元。上年结转5562.28万元,较上年预算安排增加3557.73万元。
(二)支出预算情况
2026年九江市教育局支出预算总额为124477.29万元,较上年预算安排增加15283.48万元。
按支出项目类别划分:基本支出106498.81万元,较上年预算安排增加6286.55万元;项目支出17978.48万元,较上年预算安排增加8996.93万元。
按支出功能科目划分:教育支出115748.86万元,较上年预算安排增加14355.82万元;社会保障和就业支出8409.02万元,较上年预算安排增加608.25万元;节能环保支出252.58万元,较上年预算安排增加252.58万元;其他支出66.83万元,较上年预算安排增加66.83万元。
按支出经济分类划分:工资福利支出90793.89万元,较上年预算安排增加6830.68万元;商品和服务支出21242.35万元,较上年预算安排增加4666.17万元;对个人和家庭的补助6493.72万元,较上年预算安排增加335.56万元;资本性支出(基本建设)5095.27万元,较上年预算安排增加2599.02万元;资本性支出852.06万元,较上年预算安排减少560.33万元。
(三)财政拨款支出情况
2026年九江市教育局财政拨款支出预算总额105465.70万元,较上年预算安排增加4899.39万元。
按支出功能科目划分:教育支出96737.27万元,社会保障和就业支出8409.02万元,节能环保支出252.58万元,其他支出66.83万元。
按支出项目类别划分:基本支出98263.19万元,项目支出7202.51万元。
按支出经济分类划分:工资福利支出87592.07万元,商品和服务支出6148.82万元(其中委托业务费1214.06万元),对个人和家庭的补助6291.43万元,资本性支出(基本建设)5095.27万元,资本性支出338.11万元。
(四)政府性基金情况
本部门没有使用政府性基金预算拨款安排的支出。
(五)国有资本经营情况
本部门没有使用国有资本经营预算拨款安排的支出。
(六)机关运行经费等重要事项的说明
2026年部门机关运行费预算129.59万元,比2025年预算增加0.9万元,增长0.69%。
(七)政府采购情况
2026年部门所属各单位政府采购总额 1093.16 万元,其中: 政府采购货物预算 639.71 万元, 政府采购工程预算 91.55 万元, 政府采购服务预算 361.90 万元。
(八)国有资产占有使用情况
截至2025年8月31日,部门共有车辆12辆,其中:一般公务用车实有数12辆,执法执勤用车实有数0辆。
2026年部门预算安排购置车辆0辆,安排购置单位价值200万元以上大型设备具体为:0。
(九)教育项目情况说明
1.督导项目
1)项目概述:该项目为延续性项目,为促进教育事业发展对县(市、区)和学校(单位)进行督政、督学和教育质量评估监测等工作。
2)立项依据:依据赣府厅明[2017]52号、赣教督办字[2017]52号开展工作。
3)实施主体:九江市教育局。
4)实施方案:1.全面自查,市直学校、各县(市、区)政府、教育行政部门和中小学校对照督查内容,结合实际认真深入开展自查自评。2.实地督查,派出督查组,赴各县(市、区)采取座谈调研、查阅资料、实地查看等方式进行实地督查。3.沟通反馈,实地督查结束后,督查组针对当地贯彻落实教育法律法规及相关政策落实情况和各项工作开展情况与当地进行沟通反馈,对督查发现的问题提出整改意见,限期整改到位。
5)实施周期:2026年度。
6)年度预算安排:财政拨款30万元。
7)绩效目标和指标:本年的绩效目标为通过督政、督学、教育质量评估监测工作,提高学生的就学条件,促进教育优质均衡发展。为完成该目标本单位设置了数量、质量、时效、成本、社会效益、满意度指标(详见表十项目绩效目标表)。
2.中小学教师高级职称评审工作经费
1)项目概述:2026年中小学教师高级职称评审工作经费6万元,其中财政拨款6万元。
2)立项依据:依据全省统一教师职称评审工作要求,以及九府厅抄字[2018]285号文件,财政最终预算核定。
3)实施主体:市教育局
4)实施方案:根据全省统一教师职称评审工作业务进度执行。
5)实施周期:一年
6)年度预算安排:6万元
7)绩效目标和指标:顺利完成2026年全市教师职称评审工作,坚持民主、公开、竞争、择优,鼓励优秀人才脱颖而出;坚持重师德、重能力、重业绩、重贡献,激励中小学教师提高教书育人水平,确保评审质量。
二、2026年财政拨款“三公”经费预算情况说明
2026年九江市教育局"三公"经费财政拨款安排82.35万元,其中:
因公出国0万元,比上年减少10万元,主要原因是:本年度未安排出国。
公务接待31.85万元,比上年减少27.28万元,主要原因是:压缩“三公”支出。
公务用车运行50.50万元,比上年减少22.19万元,主要原因是:压缩“三公”支出。
公务用车购置0万元,比上年增0万元,主要原因是:与上年安排保持一致。
第四部分 名词解释
一、收入科目
(一)财政拨款:指市级财政当年拨付的资金。
(二)教育收费资金收入:指实行专项管理的高中以上学费、住宿费,高校委托培养费,函大、电大、夜大及短训班培训费等教育收费取得的收入。
(三)事业收入:指事业单位开展专业业务活动及辅助活动取得的收入。
(四)事业单位经营收入:指事业单位在专业业务活动及辅助活动之外开展非独立核算经营活动取得的收入。
(五)附属单位上缴收入:指事业单位附属的独立核算单位按规定标准或比例缴纳的各项收入。包括附属的事业单位上缴的收入和附属的企业上缴的利润等。
(六)上级补助收入:指事业单位从主管部门和上级单位取得的非财政补助收入。
(七)其他收入:指除财政拨款、事业收入、事业单位经营收入等以外的各项收入。
(八)使用非财政拨款结余:指历年滚存非限定用途的非财政拨款结余弥补本年度收支差额的数额。
(九)上年结转和结余:指以前年度全部结转和结余的资金数,包括当年结转结余资金和历年滚存结转结余资金。
二、支出科目
(一)教育管理事务:反映教育管理方面的支出。
(二)普通教育:反映各类普通教育支出
(三)职业教育:反映各部门举办的各类职业教育支出
(四)特殊教育:反映各部门举办的盲童学校、聋哑学校、智力落后儿童学校、其他生理缺陷儿童学校的支出。
(五)教育费附加安排的支出:反映教育费附加安排的支出
(六)社会保障和就业支出:反映政府在社会保障与就业方面的支出。
三、相关专业名词
(一)机关运行费:指用一般公共预算财政拨款安排的为保障行政单位(包括实行公务员管理的事业单位)运行用于购买货物和服务的各项资金,包括办公费、印刷费、邮电费、差旅费、会议费、日常维修费、专用材料及一般设备购置费、办公用房水电费、办公用房取暖费、办公用房物业管理费、公务用车运行维护费以及其他费用。
(二)“三公”经费:指用财政拨款安排的因公出国(境)费、公务用车购置及运行维护费和公务接待费。其中,因公出国(境)费反映单位公务出国(境)的国际旅费、国外城市间交通费、住宿费、伙食费、培训费、公杂费等支出;公务用车购置及运行维护费反映单位公务用车车辆购置支出(含车辆购置税、牌照费),按规定保留的公务用车燃料费、新能源汽车充电费、维修费、过桥过路费、保险费、安全奖励费 用等支出;公务接待费反映单位按规定开支的各类公务接待(含外宾接待)支出。